产品列表
相关产品
联系我们
销售热线:0632-5228899
公司传真:0632-4016677
E-mail:kr@krwater.com
地址:山东省枣庄市薛城区薛城化工产业园府前路路南1号
产品详情

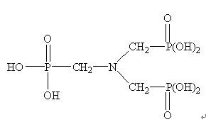
氨基三甲叉膦酸 ATMP

Amino Trimethylene Phosphonic Acid
别名:氨基三亚甲基膦酸、ATMPA、次氮基三亚甲基三膦酸、次氮基三亚甲基磷酸
CAS.6419-19-8
分子式:N(CH2PO3H2)3
相对分子质量:299.05
结构式
atmp

一、性能与用途:

ATMP(氨基三甲叉膦酸)具有良好的螯合、低限抑制及晶格畸变作用。可阻止水中成垢盐类形成水垢,特别是碳酸钙垢的形成。本产品在水中化学性质稳定,不易水解。在水中浓度较高时,有良好的缓蚀效果。

ATMP(氨基三甲叉膦酸)用于火力发电厂、炼油厂的循环冷却水、油田回注水系统。可以起到减少金属设备或管路腐蚀和结垢的作用。本产品在纺织印染等行业用作金属离子螯合剂,也可用于金属表面处理剂等。

ATMP(氨基三甲叉膦酸)固体为结晶性粉末,易溶于水,易吸潮,易于运输和使用,尤其适用于冬季严寒地区。

二、技术指标

项  目 指  标
符合HG/T2841-2005 符合HG/T2840-2010
外 观 无色或微黄色透明液体 白色颗粒状固体
活性组分(以ATMP计) % ≥ 50.0 93.0
氨基三甲叉膦酸含量 % ≥ 40.0 88.0
亚磷酸(以PO33-计) % ≤ 3.5 3.0
磷酸(以PO43-计) % ≤ 0.8 0.8
氯化物(以Cl-计) % ≤ 2.0 1.0
铁(以Fe2+计)含量mg/L ≤ 20.0 20.0
密度(20℃)g/cm3 1.30 ——
pH(1%水溶液) ≤ 2.0 2.0

三、使用方法

ATMP(氨基三甲叉膦酸)常与其它有机膦酸、聚羧酸或盐等复配成有机水处理剂,用于各种不同水质条件下的循环冷却水系统。用量以1~20mg/L为佳;作缓蚀剂使用时,用量为20~60mg/L。

四、包装与贮存

ATMP(氨基三甲叉膦酸)液体用塑料桶包装,每桶30kg或250kg;ATMP(氨基三甲叉膦酸)固体用内衬聚乙烯袋的塑料编织袋包装,每袋净重25kg,也可根据用户需要确定。贮于室内阴凉通风处,防潮、严防曝晒,贮存期十个月。

五、安全防护

ATMP(氨基三甲叉膦酸)为酸性,操作时注意劳动保护,应避免与皮肤、眼睛等接触,接触后应立即用大量清水冲洗。
咨询更多:18806325904(刘总) 0632-5228899